Premium Only Content
This video is only available to Rumble Premium subscribers. Subscribe to
enjoy exclusive content and ad-free viewing.
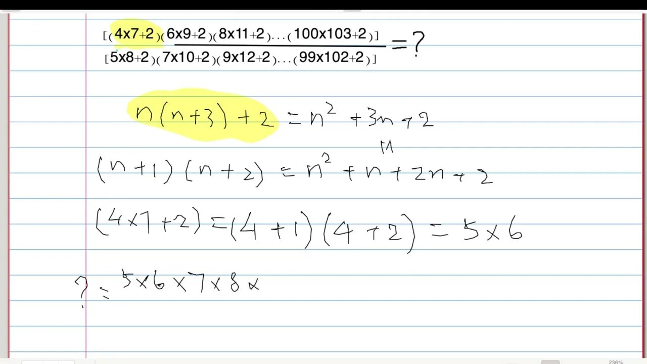
[從零到奧數] #13 求 (4x7+2)(6x9+2)(8x11+2)...(100x103+2)] / [5x8+2)(7x10+2)(9x12+2)...(99x102+2)]
Loading comments...
-
2:11:09
Steven Crowder
6 hours ago🔴 Just Release the Damn Epstein Files - End It Once and For All
474K327 -
10:06
VSOGunChannel
3 hours ago $1.26 earnedCongress Tells ATF to Stop Doing the National Firearms Act
7.7K1 -
30:40
The Boomer Effect
18 hours agoNo More Beardos
5.53K2 -
1:08:00
Sean Unpaved
3 hours agoMike Vrabel Has Restored The Patriot Way! | UNPAVED
24.8K3 -
2:04:53
Side Scrollers Podcast
5 hours agoHasan Piker Goes FULL Propaganda + Kirsche & Craig Make “The List” + More | Side Scrollers
26.8K2 -
2:06:23
Nerdrotic
4 hours ago $3.34 earnedNerdrotic Nooner 533
36.5K2 -
LIVE
GritsGG
4 hours ago#1 Most Warzone Wins 3987+!
43 watching -
1:08:44
The Rubin Report
5 hours agoPress Goes Silent When Told Ugly Facts of Damage Done by Democrat Shutdown
50.8K62 -
2:04:14
Nikko Ortiz
5 hours agoVETERAN DAY FAILS... | Rumble LIVE
46.6K5 -
20:08
Professor Nez
4 hours ago🔥 A Room Full of Democrats with Scott Wiener SCOLDED a Black Lesbian Pouring Her Heart Out!
26.4K16