Premium Only Content
This video is only available to Rumble Premium subscribers. Subscribe to
enjoy exclusive content and ad-free viewing.
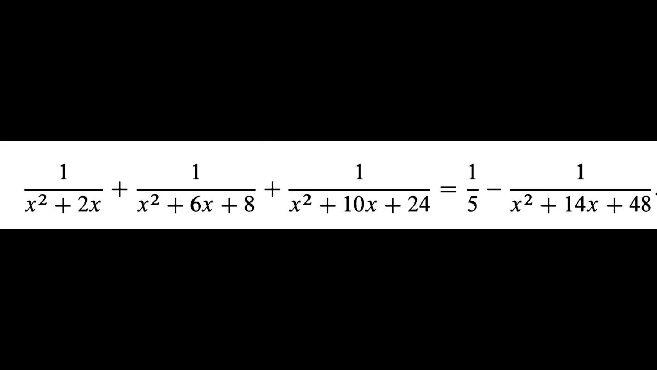
[從零到奧數] #32
Loading comments...
-
2:28:53
Inverted World Live
9 hours agoMurder Tourism, Truth Police, & ChatGPT Weddings | Ep. 141
244K13 -
2:58:44
TimcastIRL
8 hours agoTrump DOJ Opens Probe Into Democrat Swalwell For Mortgage Fraud | Timcast IRL
211K155 -
2:51:50
Laura Loomer
8 hours agoEP156: Trump Sounds The Alarm On The Nigerian Christian Genocide
71.2K72 -
1:11:27
Flyover Conservatives
1 day agoDAVID GREEN: “God Owns It All”: How Hobby Lobby Thinks About Money, Time & Eternity w/ Bill High | FOC Show
37.8K5 -
2:39:00
DLDAfterDark
6 hours ago $13.52 earnedThe Armory - God, Guns, and Gear - A Conversation About Preparedness
43.8K4 -
23:42
Robbi On The Record
7 hours ago $3.64 earnedMAGA 2.0? BTS of Michael Carbonara for Congress
38.6K6 -
4:46:47
Drew Hernandez
1 day agoSHAPIRO COOKS HIMSELF: SAYS YOU DON'T DESERVE TO LIVE WHERE YOU GREW UP?
61.5K32 -
1:59:26
Barry Cunningham
9 hours agoLIVE WATCH PARTY: J.D. VANCE ON THE SEAN HANNITY SHOW!
46.6K16 -
2:11:15
megimu32
8 hours agoOFF THE SUBJECT: Judging Strangers on Reddit 😭 PLUS! Fortnite Chaos!
48.1K8 -
2:53:16
Mally_Mouse
3 days ago🎮 Throwback Thursday! Let's Play: Stardew Valley pt. 32
47.7K1