Premium Only Content
This video is only available to Rumble Premium subscribers. Subscribe to
enjoy exclusive content and ad-free viewing.
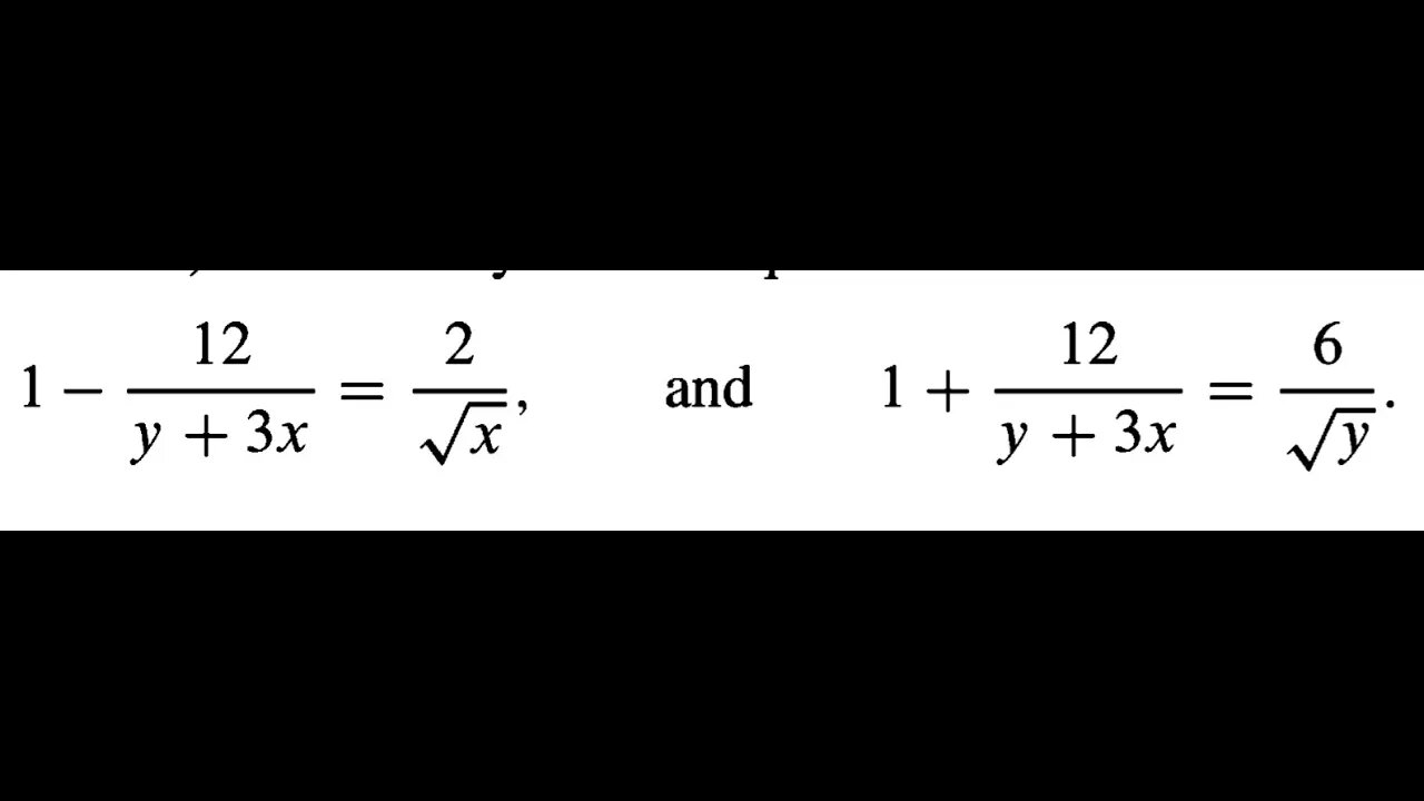
[從零到奧數] #41.
Loading comments...
-
2:51:50
Laura Loomer
5 hours agoEP156: Trump Sounds The Alarm On The Nigerian Christian Genocide
54.5K45 -
1:11:27
Flyover Conservatives
1 day agoDAVID GREEN: “God Owns It All”: How Hobby Lobby Thinks About Money, Time & Eternity w/ Bill High | FOC Show
29.1K4 -
DLDAfterDark
4 hours ago $7.18 earnedThe Armory - God, Guns, and Gear - A Conversation About Preparedness
30.6K3 -
23:42
Robbi On The Record
5 hours ago $2.06 earnedMAGA 2.0? BTS of Michael Carbonara for Congress
30.7K5 -
LIVE
Drew Hernandez
23 hours agoSHAPIRO COOKS HIMSELF: SAYS YOU DON'T DESERVE TO LIVE WHERE YOU GREW UP?
870 watching -
1:59:26
Barry Cunningham
6 hours agoLIVE WATCH PARTY: J.D. VANCE ON THE SEAN HANNITY SHOW!
38.6K16 -
2:11:15
megimu32
5 hours agoOFF THE SUBJECT: Judging Strangers on Reddit 😭 PLUS! Fortnite Chaos!
36.8K7 -
2:53:16
Mally_Mouse
3 days ago🎮 Throwback Thursday! Let's Play: Stardew Valley pt. 32
41.1K1 -
28:25
ThisIsDeLaCruz
14 hours ago $3.88 earnedInside the Sphere Part 2: Kenny Chesney’s Vegas Stage Revealed
19.8K1 -
LIVE
Lofi Girl
2 years agoSynthwave Radio 🌌 - beats to chill/game to
188 watching