Premium Only Content
This video is only available to Rumble Premium subscribers. Subscribe to
enjoy exclusive content and ad-free viewing.
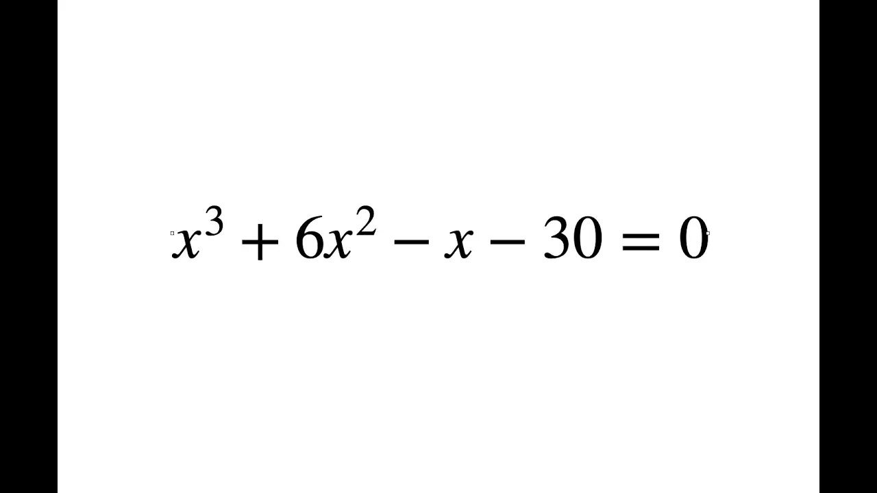
[從零到奧數] #43. x^3+6x^2-x-30=0
Loading comments...
-
16:28
Nikko Ortiz
13 hours agoPainful Fails That HURT To Watch...
2.15K4 -
9:40
MattMorseTV
12 hours ago $6.88 earnedAbsolutely NO ONE saw this coming…
5.51K49 -
2:04:53
Side Scrollers Podcast
16 hours agoHasan Piker Goes FULL Propaganda + Kirsche & Craig Make “The List” + More | Side Scrollers
36.4K6 -
17:59
GritsGG
12 hours ago15 Win Streak on Warzone! Journey to 4000 Wins!
55 -
7:40
Blabbering Collector
2 days agoLEAKED: Draco Malfoy, Hooch, Neville Longbottom! | Harry Potter HBO Show Update, Wizarding News
33.6K2 -
LIVE
Lofi Girl
3 years agolofi hip hop radio 📚 - beats to relax/study to
225 watching -
2:28:53
Inverted World Live
8 hours agoMurder Tourism, Truth Police, & ChatGPT Weddings | Ep. 141
220K11 -
2:58:44
TimcastIRL
7 hours agoTrump DOJ Opens Probe Into Democrat Swalwell For Mortgage Fraud | Timcast IRL
206K129 -
2:51:50
Laura Loomer
7 hours agoEP156: Trump Sounds The Alarm On The Nigerian Christian Genocide
64.5K69 -
1:11:27
Flyover Conservatives
1 day agoDAVID GREEN: “God Owns It All”: How Hobby Lobby Thinks About Money, Time & Eternity w/ Bill High | FOC Show
34.1K4