Premium Only Content
This video is only available to Rumble Premium subscribers. Subscribe to
enjoy exclusive content and ad-free viewing.
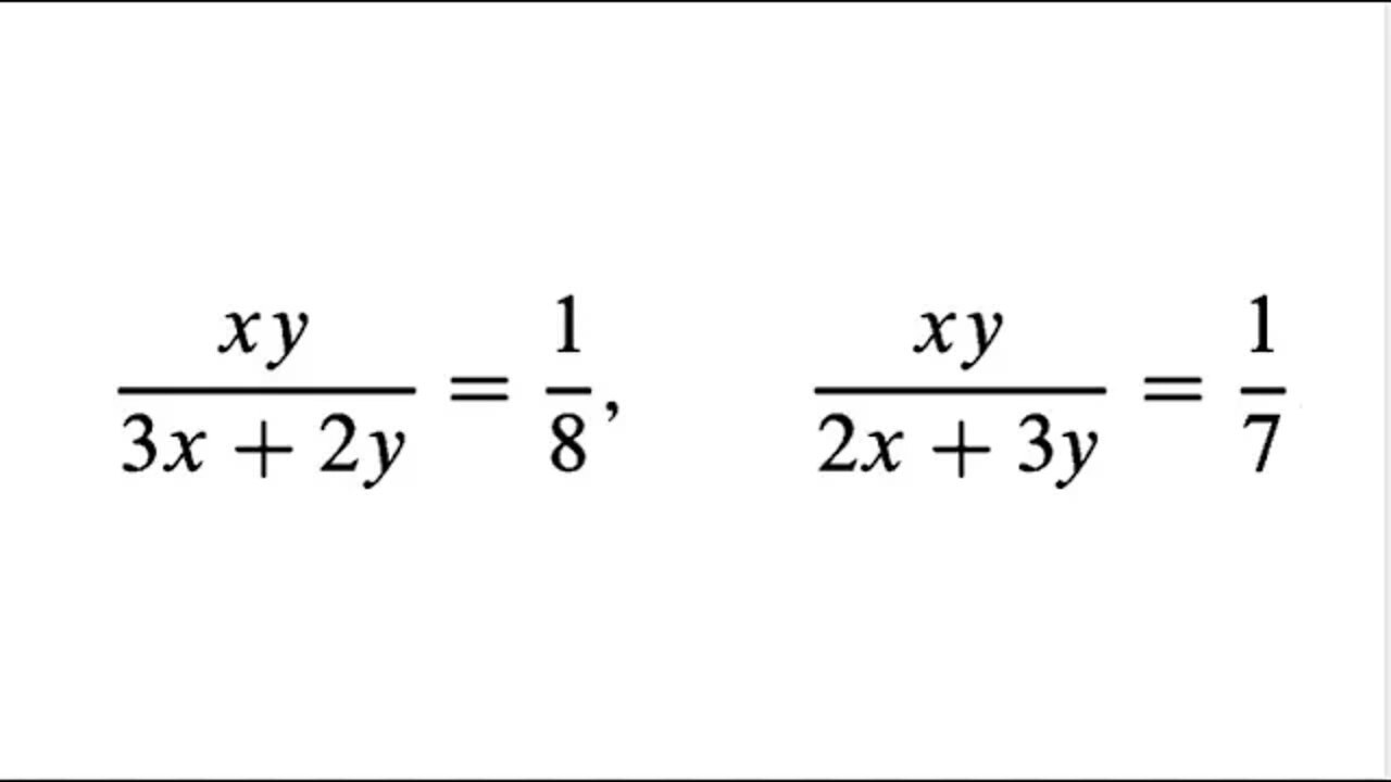
[從零到奧數] #64
Loading comments...
-
LIVE
bucketofish
1 hour ago///ARC Raiders || Exploring Stella Montis w/ Jorba4 and Architect
68 watching -
52:33
MattMorseTV
1 hour ago🔴Vance just TOOK THE REIGNS. 🔴
1.9K7 -
7:21:00
Dr Disrespect
8 hours ago🔴LIVE - DR DISRESPECT - BLACK OPS 7 - LAUNCH DAY CHAMPION
89.9K8 -
1:06:56
BonginoReport
6 hours agoMegyn Kelly’s SHOCKING Epstein Take - Nightly Scroll w/ Hayley Caronia (Ep.178)
73.5K41 -
LIVE
Midnight In The Mountains™
3 hours agoArc RAIDERS w/ The Midnights & TheRealTombi | Death Loot and Scooting ALL WHO DARE PASS
113 watching -
1:33:14
Roseanne Barr
4 hours agoGod's Sting Operation | The Roseanne Barr Podcast #123
152K78 -
1:38:43
Kim Iversen
3 hours agoWHAT?! Epstein Emails Claim Trump Did THIS To Bill Clinton...
27.1K49 -
LIVE
Mally_Mouse
4 days agoFriend Friday!! 🎉 - Let's Play!: PEAK (modded)
111 watching -
18:16
T-SPLY
5 hours agoFederal Agents Prepare For Charlotte North Carolina Deployment!
2.31K1 -
LIVE
SavageJayGatsby
1 day ago🎮 Friend Friday – Peak: Modded Madness! 💥
30 watching