Premium Only Content
This video is only available to Rumble Premium subscribers. Subscribe to
enjoy exclusive content and ad-free viewing.
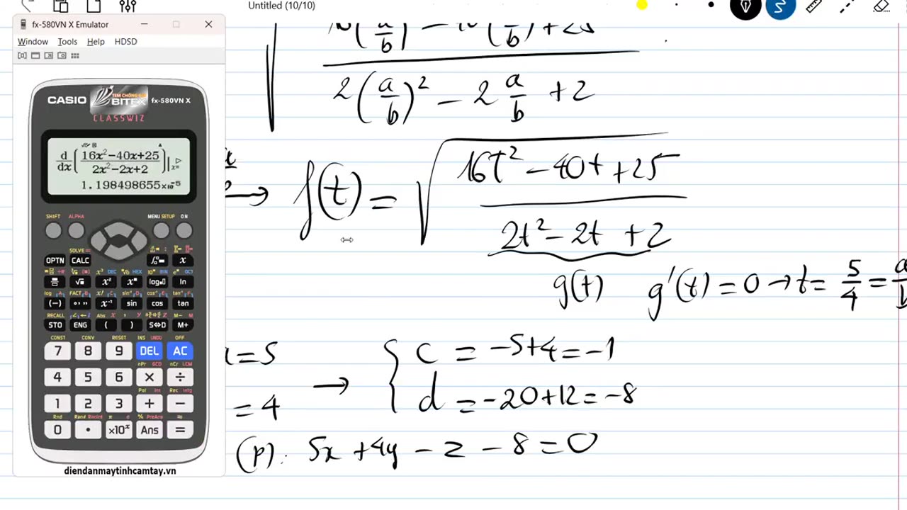
16 15 DE THUC CHIEN TOAN VACT PHAN 13 mp4
Loading comments...
-
2:18:46
Tucker Carlson
2 hours agoTucker Carlson Interviews Nick Fuentes
18.2K113 -
LIVE
Drew Hernandez
11 hours agoCANDACE OWENS CALLS CHARLIE KIRK STAFF INTO QUESTION?
1,004 watching -
47:03
Barry Cunningham
4 hours agoPRESIDENT TRUMP MEETS WITH THE PRIME MINISTER OF JAPAN!! AND MORE NEWS!
14K11 -
LIVE
Flyover Conservatives
20 hours agoThe Dollar Devaluation Playbook: Gold, Bitcoin… and the “Genius Act” - Andy Schectman | FOC Show
313 watching -
LIVE
SpartakusLIVE
4 hours agoWZ Tonight || Battlefield 6 BATTLE ROYALE Tomorrow!
133 watching -
LIVE
megimu32
1 hour agoON THE SUBJECT: Halloween Nostalgia! LET’S GET SPOOKY! 👻
160 watching -
1:24:56
Glenn Greenwald
4 hours agoThe Unhinged Reactions to Zohran's Rise; Dems Struggle to Find a Personality; DHS, on Laura Loomer's Orders, Arrests UK Journalist and Israel Critic | SYSTEM UPDATE #538
92.4K54 -
LIVE
Spartan
3 hours agoBack from worlds. Need a short break from Halo, so single player games for now
76 watching -
LIVE
Eternal_Spartan
10 hours ago🟢 Eternal Spartan Plays FF7 Rebirth Episode 15 | USMC Veteran
48 watching -
1:32:11
Tundra Tactical
2 hours ago $0.11 earnedProfessional Gun Nerd Plays Battlefield 6
8.05K