Premium Only Content
This video is only available to Rumble Premium subscribers. Subscribe to
enjoy exclusive content and ad-free viewing.
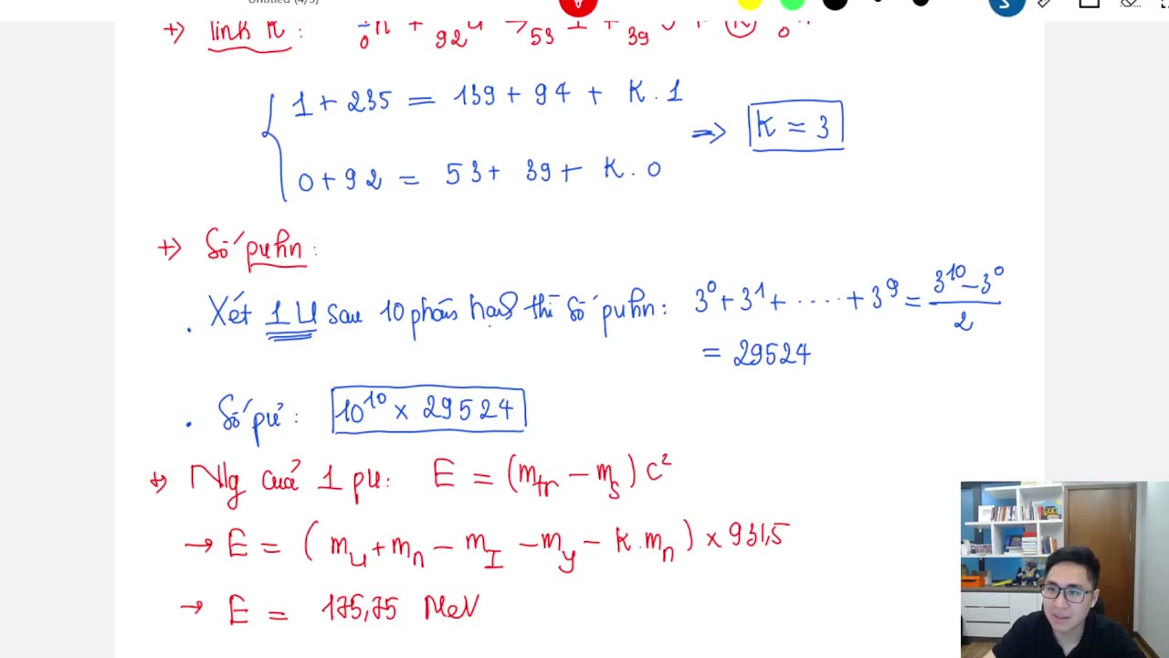
5 Phân hạch nhiệt hạch
Loading comments...
-
LIVE
Red Pill News
1 hour agoNGO’s Caught Funding CCP on Red Pill News Live
1,795 watching -
LIVE
LFA TV
19 hours agoLIVE & BREAKING NEWS! | WEDNESDAY 10/29/25
1,184 watching -
1:12:02
vivafrei
2 hours agoThe Rise of Mamdami & the Fall of New York! Ice Activits ARRESTED! Ostrich Farm UPDATE! & More!
72.9K40 -
16:31
Clintonjaws
6 hours ago $2.61 earnedICE Rioters Getting Arrested - This Is Priceless
4.07K8 -
1:05:34
The Quartering
3 hours agoJob Economy Collapsing, Food Wars Start Friday & The War On Tucker Carlson
105K34 -
LIVE
Barry Cunningham
3 hours agoPRESIDENT TRUMP EVENTS IN SOUTH KOREA | MIKE JOHNSON SHUTDOWN DAY 29 PRESSER | MORE NEWS!
1,651 watching -
LIVE
The HotSeat
1 hour agoAmerican Politics Are Really NOT This HARD!!!!
552 watching -
2:19:30
Side Scrollers Podcast
6 hours agoAngry Joe’s TDS/Halo Meltdown + Console War is OVER + Twitch Staff FIRED + More | Side Scrollers
45.6K10 -
1:13:46
DeVory Darkins
4 hours agoDemocrat Voters get CRUSHING NEWS as Trump celebrates MAJOR TRADE DEAL
129K58 -
14:54
The Kevin Trudeau Show Limitless
7 hours agoThe Hidden Force Running Your Life
14.6K6