Premium Only Content
This video is only available to Rumble Premium subscribers. Subscribe to
enjoy exclusive content and ad-free viewing.
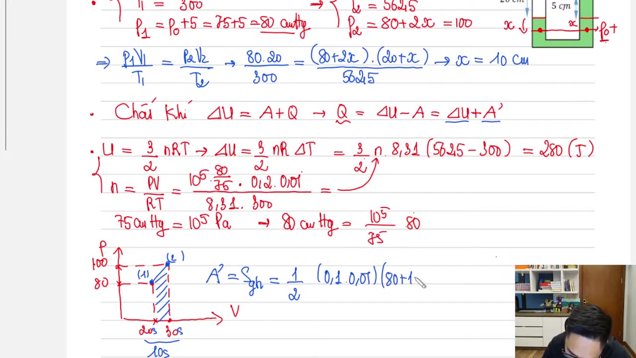
ĐỀ 15 BỘ ĐỀ 9+
Loading comments...
-
1:31:56
Michael Franzese
16 hours agoWill NBA do anything about their Gambling Problems?
97.5K21 -
57:26
X22 Report
6 hours agoMr & Mrs X - The Food Industry Is Trying To Pull A Fast One On RFK Jr (MAHA), This Will Fail - EP 14
70.2K43 -
2:01:08
LFA TV
1 day agoTHE RUMBLE RUNDOWN LIVE @9AM EST
136K11 -
1:28:14
On Call with Dr. Mary Talley Bowden
4 hours agoI came for my wife.
15.3K15 -
1:06:36
Wendy Bell Radio
9 hours agoPet Talk With The Pet Doc
51.9K28 -
30:58
SouthernbelleReacts
2 days ago $6.77 earnedWe Didn’t Expect That Ending… ‘Welcome to Derry’ S1 E1 Reaction
24.4K8 -
13:51
True Crime | Unsolved Cases | Mysterious Stories
5 days ago $16.11 earned7 Real Life Heroes Caught on Camera (Remastered Audio)
40.7K10 -
LIVE
Total Horse Channel
15 hours ago2025 IRCHA Derby & Horse Show - November 1st
116 watching -
4:19
PistonPop-TV
6 days ago $7.18 earnedThe 4E-FTE: Toyota’s Smallest Turbo Monster
41.5K -
43:07
WanderingWithWine
6 days ago $4.01 earned5 Dreamy Italian Houses You Can Own Now! Homes for Sale in Italy
27.5K9