Premium Only Content

Exercise 2: Proof of Formula 1: Derivative of Addition of Vector Functions
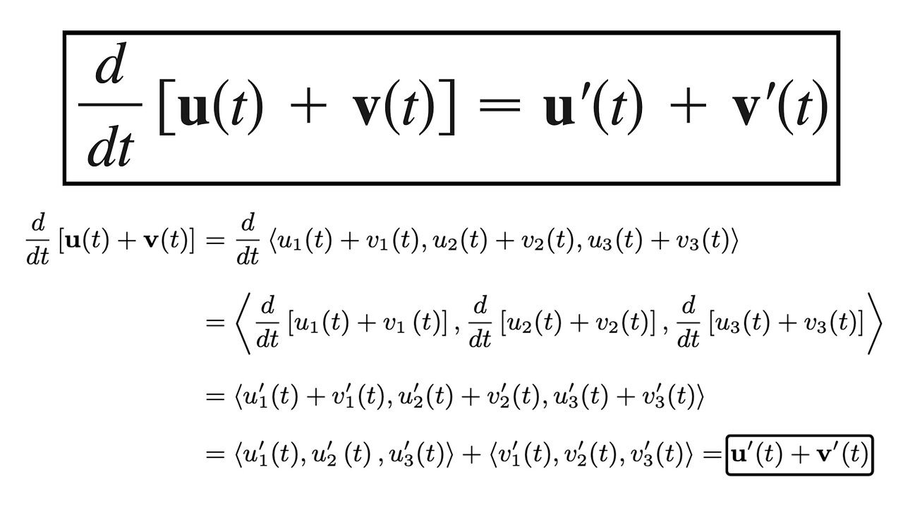
In this video I go over Formula 1 of the differentiation rules for vector functions and show the derivative of the addition (or subtraction) of vector functions is just the derivative of each vector function added (or subtracted) to each other. This follows from adding the vectors first, then applying differentiation by components, followed by splitting the vectors back up again.
#math #vectors #calculus #stem #education
Timestamps:
- Exercise 2: Proof of Formula 1: 0:00
- Adding the vectors and taking the derivative of their components: 1:05
- Separating the components to obtain our formula: 4:19
Notes and playlists:
- Summary: https://inleo.io/threads/view/mes/re-leothreads-pxjvqfxd
- Notes: https://peakd.com/hive-128780/@mes/hfsetrue
- Sections playlist: https://www.youtube.com/playlist?list=PLai3U8-WIK0FgQ3jBd9IFaWOakOWbHous
- Vector Functions playlist: https://www.youtube.com/playlist?list=PLai3U8-WIK0FgQ3jBd9IFaWOakOWbHous .
------------------------------------------------------
Become a MES Super Fan! https://www.youtube.com/channel/UCUUBq1GPBvvGNz7dpgO14Ow/join
DONATE! ʕ •ᴥ•ʔ https://mes.fm/donate
SUBSCRIBE via EMAIL: https://mes.fm/subscribe
MES Links: https://mes.fm/links
MES Truth: https://mes.fm/truth
Official Website: https://MES.fm
Hive: https://peakd.com/@mes
Email me: [email protected]
Free Calculators: https://mes.fm/calculators
BMI Calculator: https://bmicalculator.mes.fm
Grade Calculator: https://gradecalculator.mes.fm
Mortgage Calculator: https://mortgagecalculator.mes.fm
Percentage Calculator: https://percentagecalculator.mes.fm
Free Online Tools: https://mes.fm/tools
iPhone and Android Apps: https://mes.fm/mobile-apps
-
3:26:56
Math Easy Solutions
12 days ago $0.03 earnedMES Livestream 111: BeneficenceTV Discusses Energy Recycling (Free Energy)
254 -
40:19
The Kevin Trudeau Show Limitless
22 minutes agoFrom Prison to Power: Kevin Trudeau on Manifesting Anything
-
LIVE
Matt Kohrs
11 hours agoStock Market Open: BTFD 🚀🚀🚀 || Live Trading Futures & Options
744 watching -
LIVE
Wendy Bell Radio
5 hours agoThe Way We Were
7,941 watching -
1:00:54
Chad Prather
15 hours agoHow True Greatness Kneels Down
43.9K14 -
LIVE
Crypto Power Hour
1 hour ago $0.27 earnedU.S. Healthcare & Blockchain Solutions
114 watching -
LIVE
LFA TV
12 hours agoLIVE & BREAKING NEWS! | WEDNESDAY 10/15/25
2,828 watching -
15:23
Producer Michael
22 hours agoINSIDE AL CAPONE'S BULLETPROOF 1928 CADILLAC
32.3K5 -
11:06
Scammer Payback
19 hours agoScammer Fails Tech Test...Gets His Computer Absolutely Destroyed
16.9K1 -
8:45
Millionaire Mentor
19 hours agoDevin Nunes SHOCKED Everyone After EXPOSING The Deep State’s Dirty Secret
20.5K8