Premium Only Content
Exercise 4: Proof of Formula 5: Derivative of Cross Product of Vector Functions by Components
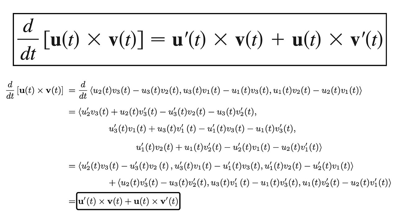
In this video I prove Formula 5 of the differentiation rules for vector functions, and this time derive the derivative of the cross product of two vector functions. I solve this by taking the derivative of the components of the cross product directly and then separating it into two vectors. The result is the usual counterpart of the product rule for real-valued functions. In the next video I solve Formula 5 using the definition of derivative for vector functions instead.
#math #vectors #calculus #crossproduct #education
Timestamps:
- Exercise 5: Proof of Formula 5: Derivative of Cross Product: 0:00
- Solution 1: Derivative of Components: 0:39
- Expanding the cross product first: 2:26
- Take derivative via product rule for each component: 4:49
- Factor out all the similar terms to obtain two vectors: 7:48
- Separate into two cross products: 11:53
- We obtain our product rule counterpart for the derivative of cross product of vector functions: 14:11
Notes and playlists:
- Summary: https://inleo.io/threads/view/mes/re-leothreads-2ozzyaouc
- Notes: https://peakd.com/hive-128780/@mes/hfsetrue
- Sections playlist: https://www.youtube.com/playlist?list=PLai3U8-WIK0FgQ3jBd9IFaWOakOWbHous
- Vector Functions playlist: https://www.youtube.com/playlist?list=PLai3U8-WIK0FgQ3jBd9IFaWOakOWbHous .
------------------------------------------------------
Become a MES Super Fan! https://www.youtube.com/channel/UCUUBq1GPBvvGNz7dpgO14Ow/join
DONATE! ʕ •ᴥ•ʔ https://mes.fm/donate
SUBSCRIBE via EMAIL: https://mes.fm/subscribe
MES Links: https://mes.fm/links
MES Truth: https://mes.fm/truth
Official Website: https://MES.fm
Hive: https://peakd.com/@mes
Email me: [email protected]
Free Calculators: https://mes.fm/calculators
BMI Calculator: https://bmicalculator.mes.fm
Grade Calculator: https://gradecalculator.mes.fm
Mortgage Calculator: https://mortgagecalculator.mes.fm
Percentage Calculator: https://percentagecalculator.mes.fm
Free Online Tools: https://mes.fm/tools
iPhone and Android Apps: https://mes.fm/mobile-apps
-
1:33:35
Math Easy Solutions
2 days ago $0.10 earnedMES Livestream 120: John Hutchison and Kerry Cassidy on the Show!
1271 -
1:15:37
Candace Owens
3 hours agoErika And I Sat Down. Here’s What Happened. | Candace Ep 280
152K491 -
LIVE
Quite Frankly
6 hours agoEurope Talks War, Old School TV, Open Lines & EXTRAS | J Gulinello | 12/16/25
478 watching -
13:51
ARFCOM News
5 hours ago $1.60 earnedShould Bystander Have Blasted? + DOJ Lawyers: Don't Make Us Defend Gun Rights! + How To STOP Flock?
19.5K9 -
1:04:59
TheCrucible
4 hours agoThe Extravaganza! EP: 75 (12/16/25)
81.3K9 -
1:13:35
Kim Iversen
4 hours agoTurtle Island Terror: A Narrative That Serves Israel
44.2K65 -
2:04:10
Redacted News
5 hours agoGet Ready! Something Big is Coming and They're Putting all The Pieces in Place | Redacted News
154K173 -
3:06:50
Red Pill News
4 hours agoFBI & DOJ Coverup of Clinton Crimes Exposed In Detail on Red Pill News Live
51.7K16 -
2:37:47
Robert Gouveia
4 hours agoTrump ILLEGALLY RAIDED!! Judge Dugan Trial! Shame on Tim Walz!
30.3K12 -
34:04
Stephen Gardner
6 hours ago🔥Democrats SUFFER 2 DEVASTATING Losses to Trump TODAY!
45.6K49