Premium Only Content
This video is only available to Rumble Premium subscribers. Subscribe to
enjoy exclusive content and ad-free viewing.
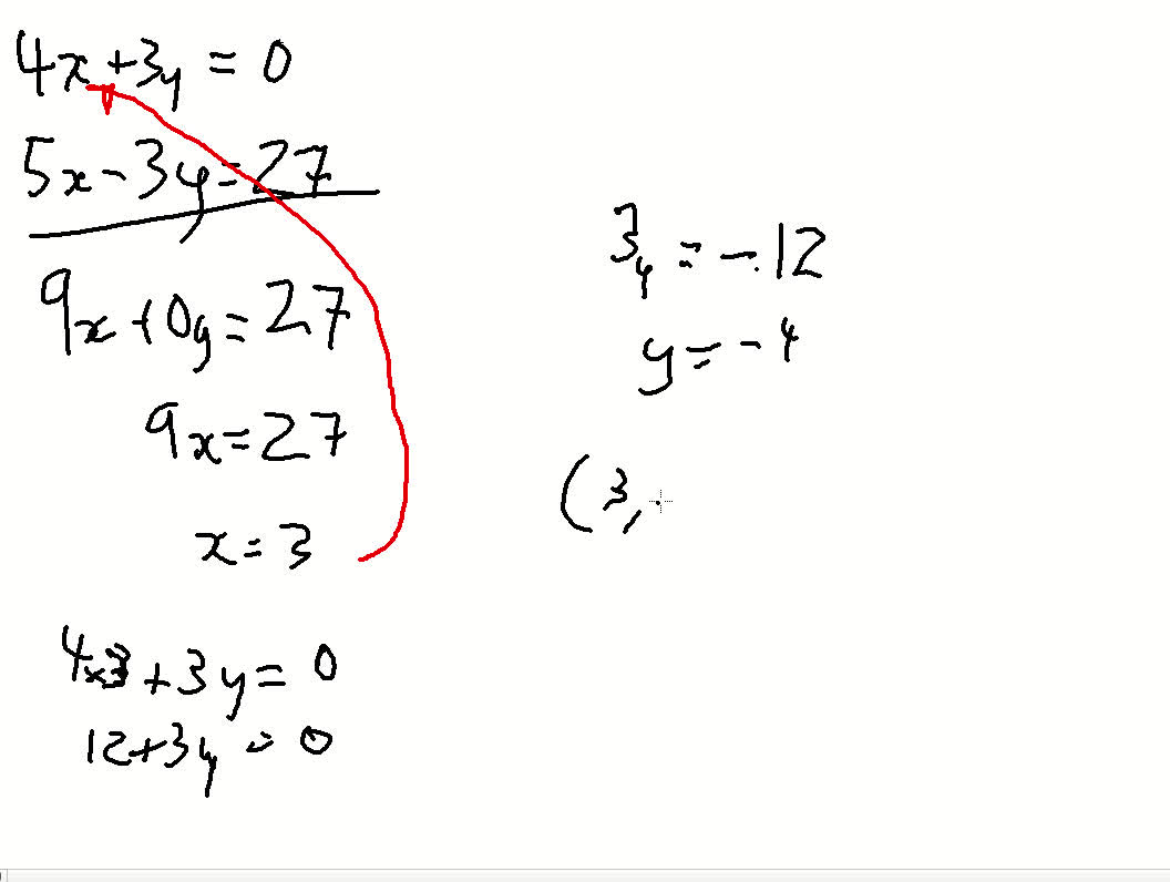
Simultaneous Equations, elimination; 4x+3y=0 & 5x-3y=27
Loading comments...
-
9:06
TheSaltyCracker
1 day agoWorld's Most Annoying Streamer Gets Arrested on Drug Charges Live
64.5K203 -
28:44
itsSeanDaniel
1 day agoCNN Host STUNNED as MAGA Outcast REFUSES to Trash Trump
16.2K12 -
18:58
Nikko Ortiz
15 hours agoMcMillan Tac-338 Is LETHAL
62.1K2 -
13:36
MattMorseTV
14 hours ago $11.23 earnedTrump is GUTTING their ENTIRE SYSTEM.
17.4K44 -
2:17:54
Side Scrollers Podcast
20 hours agoAsmongold vs DSP + Metroid Prime 4 CONTROVERSY + Disney DROPS DEI? + More | Side Scrollers
70.2K9 -
22:26
GritsGG
14 hours ago4000th Warzone Victory! Most Winning Warzone Player!
13.8K2 -
11:47
XDDX_HiTower
17 hours ago $2.30 earnedGZW LEVELS UP HARD WITH A PERFORMANCE AND GOL BULLSEYE
15.6K2 -
31:59
Stephen Gardner
10 hours ago🔥TOP Dems CAUGHT in Epstein Payoff Scandal + Trump $2000 Check UPDATE!
22.5K74 -
2:25:05
The Pascal Show
1 day ago $3.94 earned'THERE'S NOTHING TO HIDE?!' Trump SUDDENLY Urges House Republicans To Vote Release Epstein Files
15.6K8 -
1:45:20
The Michelle Moore Show
21 hours ago'A Jaw-dropping Prophetic Word From the UFC Brawl On Saturday Night' Guest, Lt. Mark Taylor: The Michelle Moore Show (Nov 17, 2025)
29.3K47