Premium Only Content
This video is only available to Rumble Premium subscribers. Subscribe to
enjoy exclusive content and ad-free viewing.
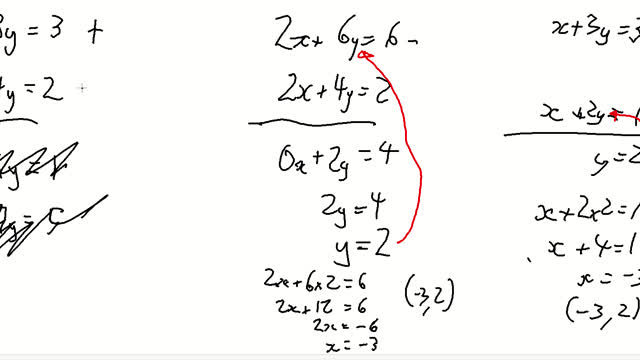
Simultaneous Equations, elimination; x+3y=3 & 2x+4y=2
Loading comments...
-
18:58
Nikko Ortiz
15 hours agoMcMillan Tac-338 Is LETHAL
62.1K2 -
13:36
MattMorseTV
14 hours ago $10.80 earnedTrump is GUTTING their ENTIRE SYSTEM.
17.4K44 -
2:17:54
Side Scrollers Podcast
20 hours agoAsmongold vs DSP + Metroid Prime 4 CONTROVERSY + Disney DROPS DEI? + More | Side Scrollers
70.2K9 -
22:26
GritsGG
14 hours ago4000th Warzone Victory! Most Winning Warzone Player!
13.8K2 -
11:47
XDDX_HiTower
17 hours ago $1.65 earnedGZW LEVELS UP HARD WITH A PERFORMANCE AND GOL BULLSEYE
15.6K2 -
31:59
Stephen Gardner
10 hours ago🔥TOP Dems CAUGHT in Epstein Payoff Scandal + Trump $2000 Check UPDATE!
22.5K73 -
2:25:05
The Pascal Show
1 day ago $4.88 earned'THERE'S NOTHING TO HIDE?!' Trump SUDDENLY Urges House Republicans To Vote Release Epstein Files
15.6K8 -
1:45:20
The Michelle Moore Show
21 hours ago'A Jaw-dropping Prophetic Word From the UFC Brawl On Saturday Night' Guest, Lt. Mark Taylor: The Michelle Moore Show (Nov 17, 2025)
29.3K47 -
LIVE
Lofi Girl
3 years agolofi hip hop radio 📚 - beats to relax/study to
248 watching -
2:08:23
FreshandFit
15 hours agoDeVory Darkins Realizes Women Aren't Even TRYING To Get Married
207K102