Premium Only Content
This video is only available to Rumble Premium subscribers. Subscribe to
enjoy exclusive content and ad-free viewing.
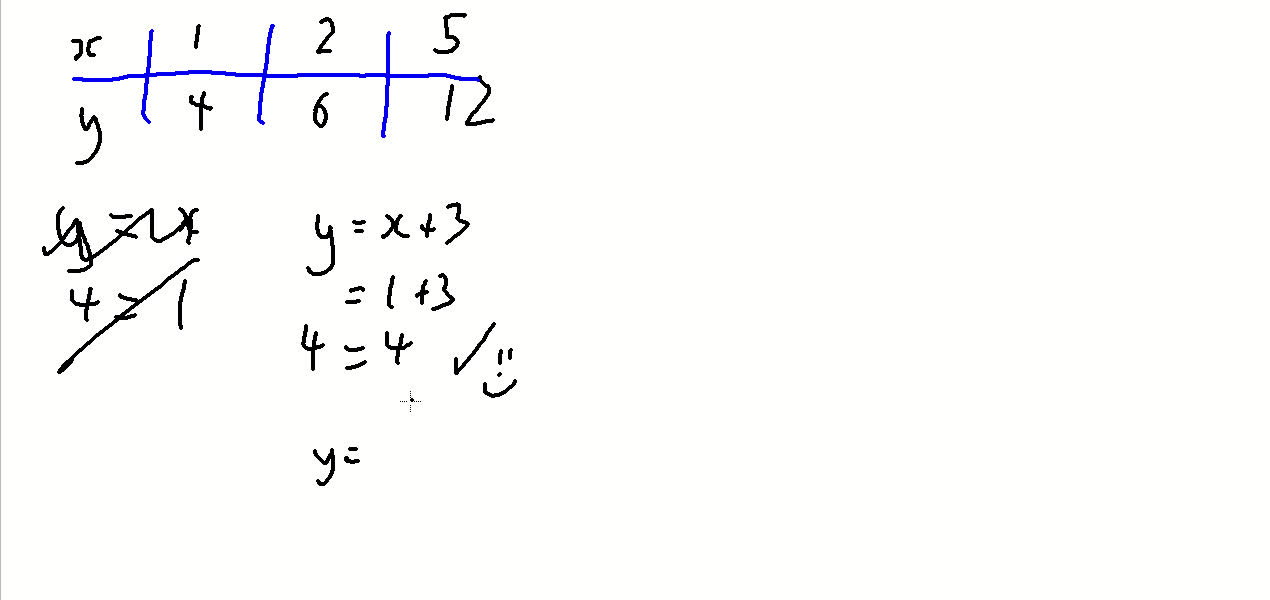
Finding a formula y=2x+2
Loading comments...
-
18:58
Nikko Ortiz
11 hours agoMcMillan Tac-338 Is LETHAL
8042 -
13:36
MattMorseTV
11 hours ago $4.69 earnedTrump is GUTTING their ENTIRE SYSTEM.
3.9K18 -
2:17:54
Side Scrollers Podcast
16 hours agoAsmongold vs DSP + Metroid Prime 4 CONTROVERSY + Disney DROPS DEI? + More | Side Scrollers
49.3K6 -
22:26
GritsGG
10 hours ago4000th Warzone Victory! Most Winning Warzone Player!
362 -
11:47
XDDX_HiTower
13 hours agoGZW LEVELS UP HARD WITH A PERFORMANCE AND GOL BULLSEYE
202 -
31:59
Stephen Gardner
7 hours ago🔥TOP Dems CAUGHT in Epstein Payoff Scandal + Trump $2000 Check UPDATE!
6K41 -
2:25:05
The Pascal Show
1 day ago $2.21 earned'THERE'S NOTHING TO HIDE?!' Trump SUDDENLY Urges House Republicans To Vote Release Epstein Files
435 -
1:45:20
The Michelle Moore Show
17 hours ago'A Jaw-dropping Prophetic Word From the UFC Brawl On Saturday Night' Guest, Lt. Mark Taylor: The Michelle Moore Show (Nov 17, 2025)
14K37 -
LIVE
Lofi Girl
3 years agolofi hip hop radio 📚 - beats to relax/study to
181 watching -
2:08:23
FreshandFit
11 hours agoDeVory Darkins Realizes Women Aren't Even TRYING To Get Married
167K56