Premium Only Content
This video is only available to Rumble Premium subscribers. Subscribe to
enjoy exclusive content and ad-free viewing.
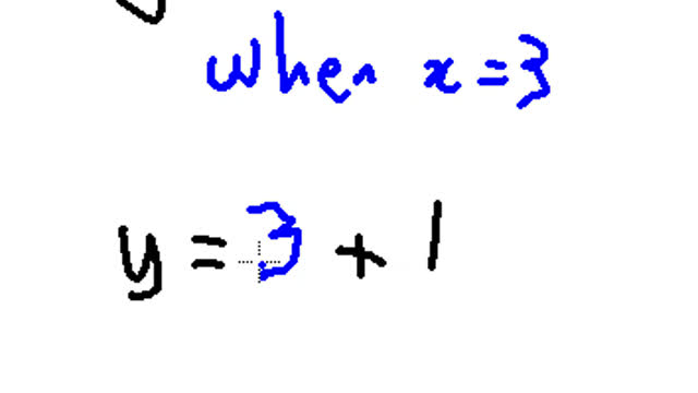
Substitution y=x+1 when x=3
Loading comments...
-
22:26
GritsGG
10 hours ago4000th Warzone Victory! Most Winning Warzone Player!
362 -
11:47
XDDX_HiTower
13 hours agoGZW LEVELS UP HARD WITH A PERFORMANCE AND GOL BULLSEYE
202 -
31:59
Stephen Gardner
7 hours ago🔥TOP Dems CAUGHT in Epstein Payoff Scandal + Trump $2000 Check UPDATE!
6K41 -
2:25:05
The Pascal Show
1 day ago $2.21 earned'THERE'S NOTHING TO HIDE?!' Trump SUDDENLY Urges House Republicans To Vote Release Epstein Files
435 -
1:45:20
The Michelle Moore Show
17 hours ago'A Jaw-dropping Prophetic Word From the UFC Brawl On Saturday Night' Guest, Lt. Mark Taylor: The Michelle Moore Show (Nov 17, 2025)
14K36 -
LIVE
Lofi Girl
3 years agolofi hip hop radio 📚 - beats to relax/study to
192 watching -
2:08:23
FreshandFit
11 hours agoDeVory Darkins Realizes Women Aren't Even TRYING To Get Married
167K56 -
5:40:05
Drew Hernandez
1 day agoTRUMP DOES DAMAGE CONTROL AFTER MTG FALLOUT & DEFENDS TUCKER CARLSON!
21.5K13 -
27:05
Robbi On The Record
8 days ago $21.53 earnedThe Secret to Aging Strong: What Your Body’s Been Trying to Tell You
65.8K5 -
1:53:43
Badlands Media
12 hours agoBaseless Conspiracies Ep. 159: Hunting Season for the Elite
80.4K22